T
tranngocmhieu
Sơ cấp
- 15/12/16
- 10
- 8
- 1
Mấy hôm tết ở về nhà ít đi chơi, cũng mới thi xong nên kiến thức còn đọng lại nên Hiếu tranh thủ soạn 1 bài về định giá trái phiếu. Hiếu sẽ nhắc lại một số công thức và kèm ví dụ áp dụng, xong hết thì có 5 bài tập kèm Video giải với giọng nói ấm áp của Hiếu. kkk
Tham khảo: Hướng dẫn giải bài tập định giá cổ phiếu
Công thức định giá trái phiếu
Muốn làm gì cũng phải có công thức rồi
Trái phiếu có kỳ hạn được hưởng lãi định kỳ hàng năm
Có thể gọi khác là định giá trái phiếu coupon hoặc định giá trái phiếu chiết khấu nhé. Sử dụng mô hình chiết khấu dòng tiền (DCF) với công thức sau:
Công thức định giá trái phiếu coupon
Trong đó:
I: lãi được hưởng từ trái phiếu (I = MV*i).
i: lãi suất doanh nghiệp trả cho trái phiếu.
rd: tỷ suất lợi nhuận yêu cầu của nhà đầu tư.
MV: mệnh giá trái phiếu.
n: số năm còn lại cho đến khi đáo hạn.
Bài tập áp dụng:
Trái phiếu Điện Máy Xanh có mệnh giá là 1 tỷ đồng. Lãi suất trái phiếu 10.3%/năm, trả lãi hàng năm. Trả nợ gốc 1 lần khi đáo hạn. Ngày phát hành 22/10/2007, ngày đáo hạn 22/10/2012. Suất sinh lợi yêu cầu là 10.25%/năm.
a. Định giá trái phiếu vào thời điểm phát hành?
Ta sử dụng đơn vị triệu đồng để dễ làm nhé. 1 tỷ đồng = 1000 triệu đồng.
MV: 1000 triệu đồng.
i: 10.3%/năm.
rd: 10.25%/năm.
n: ngày tháng phát hành và đáo hạn như nhau, ta lấy 2012 – 2007 = 5.
Ta tính lãi được hưởng từ trái phiếu (I) trước.
Lúc nào cũng tính lãi được nhận trước
Áp dụng vào công thức.
Thay các số vào công thức định giá trái phiếu coupon
b. Định giá trái phiếu sau 2 năm kể từ thời điểm phát hành?
Ta sử dụng toàn bộ dữ liệu câu a, nhưng khác ở số năm còn lại cho đến ngày đáo hạn.
n = 5 – 2 = 3. Thay n = 3 vào công thức trên là được.
Thay đổi số năm thành 3
Trái phiếu trả lãi theo định kỳ nửa năm
Để định giá trài phiếu trả lãi theo định kỳ nửa năm bạn chỉ việc thêm chia 2 bên các số liệu I và rd. Đối với n thì nhân 2.
Công thức định giá trái phiếu bán niên:
Công thức định giá trái phiếu bán niên
Bài tập áp dụng:
Trái phiếu Lạc Trôi có mệnh giá 100 triệu đồng. Lãi suất trái phiếu 8%/năm, trả lãi bán niên. Ngày phát hành 02/02/2001, ngày đáo hạn 02/02/2003. Tỷ suất sinh lợi yêu cầu 10%/năm.
Giá trái phiếu này là bao nhiêu?
MV: 100 triệu đồng.
i: 8%/năm.
rd: 10%/năm.
n: ngày tháng phát hành và đáo hạn như nhau, ta lấy 2003 – 2001 = 2.
Làm gì cũng phải tính I trước
Chia 2 ở I và rd, nhân 2 ở n
Trái phiếu có kỳ hạn không hưởng lãi định kỳ
Trái phiếu kỳ hạn không hưởng lãi (Zero coupon bond) là loại trái phiếu không có trải lãi định kỳ mà được bán với giá thấp hơn nhiều so với mệnh giá.
Công thức định giá trái phiếu Zero coupon:
Công thức định giá trái phiếu Zero coupon
Quá đơn giản không cần ví dụ
Trái phiếu không kỳ hạn
Trái phiếu không có thời hạn (trái phiếu vĩnh viễn – perpetual bond or consol) là loại trái phiếu chẳng bao giờ đáo hạn.
Công thức định giá trái phiếu không kỳ hạn:
Công thức định giá trái phiếu không kỳ hạn
Quá đơn giản không cần ví dụ luôn.
Định giá trái phiếu không trùng với ngày trả lãi
Mình tên Hiếu nên tạm ký hiệu là VH nhé, bạn muốn ký hiệu gì cũng được. ^_^
Công thức định giá trái phiếu không trùng với ngày trả lãi
Trong đó:
V: định giá trái phiếu tính như bình thường.
n: là số ngày còn lại cho đến ngày tháng đáo hạn nhưng của năm đang tính. Coi ví dụ sẽ hiểu.
Bài tập áp dụng:
Trái phiếu Faded có:
Mệnh giá 100,000 đồng. MV
Lãi suất 9%/năm, trả lãi 1 năm 1 lần. i
Ngày phát hành 18/11/2004.
Ngày đáo hạn 18/11/2019.
Suất sinh lợi yêu cầu 9.8%/năm. rd
Định giá trái phiếu vào ngày 18/11/2009 và ngày 16/02/2009?
Đầu tiên bạn cứ định giá trái phiếu vào năm 18/11/2009 theo công thức chiếc khấu dòng tiền (DCF).
n = 2019 – 2009 = 10.
Tính lãi được hưởng từ trái phiếu (I) trước.
Vẫn tính lãi trước
Áp dụng vào công thức.
Định giá trái phiếu vào năm 18/11/2009 trước
Bây giờ mới tính được giá trái phiếu ngày 16/02/2009 nè. Nhưng phải tính cái n đã.
n = 321 – 46 = 275. Vì sao à?
Từ đầu năm 2009 đến ngày 18/11/2009 là 321 ngày.
Từ đầu năm 2009 đến ngày 16/02/2009 là 46 ngày.
Vậy thì còn 275 ngày để để tới ngày 18/11/2009 đúng không nào.
Hãy vào Excel nhập 2 ô ngày rồi trừ nhau sẽ ra như thế này.
Tính ngày còn lại đến đáo hạn trong excel
Nhưng mà không có Excel sao mà tính? Tính bằng đếm mắc tay đó bạn ạ
Đây là nỗi khủng khiếp với mình, không biết với bạn thế nào.
Xem cách tính bằng mắc tay nè. Yên tâm, thi cử kiểm tra hiếm ai cho ra cái dạng này lắm. Giờ thay vào công thức.
Tính giá trái phiếu ngày 16/02/2009
Lợi suất đầu tư trái phiếu khi đáo hạn (YTM)
YTM (Yield to maturity) là tỷ suất lợi nhuận thu được từ trái phiếu nếu nắm giữ trái phiếu này đến khi đáo hạn.
Công thức:
Công thức YTM
Với công thức như vậy khi tính toán nó toàn bằng rd thôi à. Người ta sẽ cho giá trái phiếu và các dữ liệu khác để mình tính ngược lại YTM. Sử dụng đặt ẩn X trong máy tính Casio fx 570 là ra.
Ví dụ áp dụng:
Mua trái phiếu có mệnh giá là 5 triệu đồng. Lãi suất trái phiếu là 8%/năm, trả lãi mỗi năm 1 lần trong 10 năm. Bạn đã mua với giá 3,725,024đ. Giữ trái phiếu này cho đến ngày đáo hạn, lợi suất đầu tư trái phiếu (YTM) là bao nhiêu?
Ta có các dữ liệu:
MV: 5,000,000đ.
i: 8%/năm.
V: 3,725,024đ.
n: 10.
Ta thay mấy dữ liệu vào công thức trên và đặt ẩn X là YTM trên máy tính Casio fx 570 để giải. Nếu bạn chưa biết đặt ẩn thế nào thì trong clip giải các bài tập phía dưới Hiếu có nói.
Thay số vào và giải ẩn trên máy tính tay ra YTM
Lợi suất đầu tư lúc trái phiếu được thu hồi (YTC)
YTC (Yield to call) là tỷ suất lợi nhuận thu được từ một trái phiếu nếu trái phiếu đó được thu hồi trước khi đáo hạn.
Công thức:
Công thức YTC
PC: là giá thu hồi trái phiếu. Khi ra đề người ta sẽ nhắc đến từ “thu hồi” hay “mua lại sau mấy năm”, hãy để ý những số liệu gần đó.
Bài tập áp dụng:
Công ty Liên Quân đang lưu hành một loại trái phiếu có mệnh giá 1000$ và còn 10 năm nữa trái phiếu sẽ đáo hạn. Lãi suất trái phiếu là 11%, được trả hàng năm. Giá trái phiếu hiện tại là 1175$. Trái này có thể bị mua lại sau 5 năm nữa với giá bằng 109% mệnh giá. Hãy tính YTC của trái phiếu?
Ta có các dữ liệu:
MV: 1000$.
i: 11%/năm.
V: 1175$.
n: 5.
PC = 1000 * 109% = 1090$
Thay các số liệu vào công thức và giải ẩn X trên máy tính Casio fx 570.
Thay số vào và giải ẩn trên máy tính tay ra YTC
Bài tập định giá trái phiếu
Đây là 3 bài tập mà Hiếu chọn lọc ra để giới thiệu cho mọi người, mỗi bài đều có những kiểu đánh đố rất thú vị và khả năng cao các bạn sẽ gặp những kiểu như thế
Bài 1 Xoay quanh công thức định giá trái phiếu coupon.
Một trái phiếu công ty Điện Máy Xanh có mệnh giá 1000$, lãi suất danh nghĩa là 8.5%/năm và thời gian đáo hạn là 6.5 năm, tiền lãi được trả 6 tháng 1 lần.
a. Giá của trái phiếu sẽ là bao nhiêu nếu suất sinh lợi yêu cầu trên thị trường là 9%/năm?
b. Giá của trái phiếu sẽ cao hơn hay thấp hơn và mức chênh lệch là bao nhiêu sau 2 năm tính từ thời điểm hiện tại? (Giả sử suất sinh lợi yêu cầu trên thị trường không đổi)
c. Giả sử giá trái phiếu sau 1 năm không thay đổi. Suất sinh lợi yêu cầu sẽ thay đổi như thế nào trong trường hợp này?
Bài 2 Đánh đố một chút về thời gian định giá, có thêm tính YTM.
Công ty Điện Máy Vàng phát hành một đợt trái phiếu mới vào ngày 1/1/1990, Kỳ hạn 20 năm, lãi suất coupon 10%/năm, mệnh giá là 1000$. Tỷ suất lợi nhuận nhà đầu tư yêu cầu là 12%/năm.
a. Giá trái phiếu vào thời điểm phát hành là bao nhiêu?
b. Giả sử vào năm 1992, giá trái phiếu vẫn không đổi, nếu nhà đầu tư giữ trái phiếu cho đến năm 2010 thì suất sinh lợi của nhà đầu tư là bao nhiêu?
b. Giả sử vào ngày 1/1/2000, nhà đầu tư yêu cầu tỷ suất lợi nhuận tăng lên 1%, giá trái phiếu sẽ thay đổi như thế nào? YTM trong trường hợp này là bao nhiêu?
Bài 3 Tăng thêm độ khó, có tính YTC.
Năm ngoái, công ty Điện Máy Hồng phát hành loại trái phiếu có mệnh giá 1000$, kỳ hạn 10 năm, lãi suất trái phiếu là 12% trả theo định kỳ 6 tháng. Trái phiếu có thể mua lại sau 4 năm với giá là 1060$ và giá hiện tại của trái phiếu là 1100$.
a. Giả sử bây giờ bạn mua trái phiếu của công ty Clark bằng đúng với giá hiện tại của trái phiếu. Hãy tính YTM và YTC mà bạn nhận được trong trường hợp này?
b. 2 năm sau khi mua trái phiếu, bạn dự định bán ra thị trường. Hãy tính giá trái phiếu lúc bấy giờ? Cho rd = 14%.
c. Công ty ABC đồng ý mua trái phiếu của bạn với đúng giá mà bạn bán và phải trả thêm chi phí môi giới hết 0.5% giá mua. Nếu công ty ABC giữ trái phiếu này đến khi đáo hạn thì sẽ nhận lợi suất đầu tư trái phiếu là bao nhiêu?
Giải bài tập định giá trái phiếu
Chúc các bạn học tốt! ^_^
The post Giảng giải bài tập định giá trái phiếu appeared first on Minh Hiếu.
Tham khảo: Hướng dẫn giải bài tập định giá cổ phiếu
Công thức định giá trái phiếu
Muốn làm gì cũng phải có công thức rồi
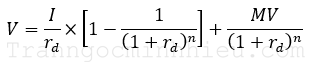
Trái phiếu có kỳ hạn được hưởng lãi định kỳ hàng năm
Có thể gọi khác là định giá trái phiếu coupon hoặc định giá trái phiếu chiết khấu nhé. Sử dụng mô hình chiết khấu dòng tiền (DCF) với công thức sau:
Công thức định giá trái phiếu coupon
Trong đó:
I: lãi được hưởng từ trái phiếu (I = MV*i).
i: lãi suất doanh nghiệp trả cho trái phiếu.
rd: tỷ suất lợi nhuận yêu cầu của nhà đầu tư.
MV: mệnh giá trái phiếu.
n: số năm còn lại cho đến khi đáo hạn.
Bài tập áp dụng:
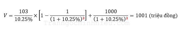
Trái phiếu Điện Máy Xanh có mệnh giá là 1 tỷ đồng. Lãi suất trái phiếu 10.3%/năm, trả lãi hàng năm. Trả nợ gốc 1 lần khi đáo hạn. Ngày phát hành 22/10/2007, ngày đáo hạn 22/10/2012. Suất sinh lợi yêu cầu là 10.25%/năm.
a. Định giá trái phiếu vào thời điểm phát hành?
Ta sử dụng đơn vị triệu đồng để dễ làm nhé. 1 tỷ đồng = 1000 triệu đồng.
MV: 1000 triệu đồng.
i: 10.3%/năm.
rd: 10.25%/năm.
n: ngày tháng phát hành và đáo hạn như nhau, ta lấy 2012 – 2007 = 5.
Ta tính lãi được hưởng từ trái phiếu (I) trước.
Lúc nào cũng tính lãi được nhận trước
Áp dụng vào công thức.
Thay các số vào công thức định giá trái phiếu coupon
b. Định giá trái phiếu sau 2 năm kể từ thời điểm phát hành?
Ta sử dụng toàn bộ dữ liệu câu a, nhưng khác ở số năm còn lại cho đến ngày đáo hạn.
n = 5 – 2 = 3. Thay n = 3 vào công thức trên là được.
Thay đổi số năm thành 3
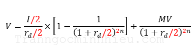
Trái phiếu trả lãi theo định kỳ nửa năm
Để định giá trài phiếu trả lãi theo định kỳ nửa năm bạn chỉ việc thêm chia 2 bên các số liệu I và rd. Đối với n thì nhân 2.
Công thức định giá trái phiếu bán niên:
Công thức định giá trái phiếu bán niên
Bài tập áp dụng:
Trái phiếu Lạc Trôi có mệnh giá 100 triệu đồng. Lãi suất trái phiếu 8%/năm, trả lãi bán niên. Ngày phát hành 02/02/2001, ngày đáo hạn 02/02/2003. Tỷ suất sinh lợi yêu cầu 10%/năm.
Giá trái phiếu này là bao nhiêu?
MV: 100 triệu đồng.
i: 8%/năm.
rd: 10%/năm.
n: ngày tháng phát hành và đáo hạn như nhau, ta lấy 2003 – 2001 = 2.
Làm gì cũng phải tính I trước
Chia 2 ở I và rd, nhân 2 ở n
Trái phiếu có kỳ hạn không hưởng lãi định kỳ
Trái phiếu kỳ hạn không hưởng lãi (Zero coupon bond) là loại trái phiếu không có trải lãi định kỳ mà được bán với giá thấp hơn nhiều so với mệnh giá.
Công thức định giá trái phiếu Zero coupon:
Công thức định giá trái phiếu Zero coupon
Quá đơn giản không cần ví dụ
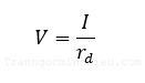
Trái phiếu không kỳ hạn
Trái phiếu không có thời hạn (trái phiếu vĩnh viễn – perpetual bond or consol) là loại trái phiếu chẳng bao giờ đáo hạn.
Công thức định giá trái phiếu không kỳ hạn:
Công thức định giá trái phiếu không kỳ hạn
Quá đơn giản không cần ví dụ luôn.
Định giá trái phiếu không trùng với ngày trả lãi
Mình tên Hiếu nên tạm ký hiệu là VH nhé, bạn muốn ký hiệu gì cũng được. ^_^
Công thức định giá trái phiếu không trùng với ngày trả lãi
Trong đó:
V: định giá trái phiếu tính như bình thường.
n: là số ngày còn lại cho đến ngày tháng đáo hạn nhưng của năm đang tính. Coi ví dụ sẽ hiểu.
Bài tập áp dụng:
Trái phiếu Faded có:
Mệnh giá 100,000 đồng. MV
Lãi suất 9%/năm, trả lãi 1 năm 1 lần. i
Ngày phát hành 18/11/2004.
Ngày đáo hạn 18/11/2019.
Suất sinh lợi yêu cầu 9.8%/năm. rd
Định giá trái phiếu vào ngày 18/11/2009 và ngày 16/02/2009?
Đầu tiên bạn cứ định giá trái phiếu vào năm 18/11/2009 theo công thức chiếc khấu dòng tiền (DCF).
n = 2019 – 2009 = 10.
Tính lãi được hưởng từ trái phiếu (I) trước.
Vẫn tính lãi trước
Áp dụng vào công thức.
Định giá trái phiếu vào năm 18/11/2009 trước
Bây giờ mới tính được giá trái phiếu ngày 16/02/2009 nè. Nhưng phải tính cái n đã.
n = 321 – 46 = 275. Vì sao à?
Từ đầu năm 2009 đến ngày 18/11/2009 là 321 ngày.
Từ đầu năm 2009 đến ngày 16/02/2009 là 46 ngày.
Vậy thì còn 275 ngày để để tới ngày 18/11/2009 đúng không nào.
Hãy vào Excel nhập 2 ô ngày rồi trừ nhau sẽ ra như thế này.
Tính ngày còn lại đến đáo hạn trong excel
Nhưng mà không có Excel sao mà tính? Tính bằng đếm mắc tay đó bạn ạ
Xem cách tính bằng mắc tay nè. Yên tâm, thi cử kiểm tra hiếm ai cho ra cái dạng này lắm. Giờ thay vào công thức.
Tính giá trái phiếu ngày 16/02/2009
Lợi suất đầu tư trái phiếu khi đáo hạn (YTM)
YTM (Yield to maturity) là tỷ suất lợi nhuận thu được từ trái phiếu nếu nắm giữ trái phiếu này đến khi đáo hạn.
Công thức:
Công thức YTM
Với công thức như vậy khi tính toán nó toàn bằng rd thôi à. Người ta sẽ cho giá trái phiếu và các dữ liệu khác để mình tính ngược lại YTM. Sử dụng đặt ẩn X trong máy tính Casio fx 570 là ra.
Ví dụ áp dụng:
Mua trái phiếu có mệnh giá là 5 triệu đồng. Lãi suất trái phiếu là 8%/năm, trả lãi mỗi năm 1 lần trong 10 năm. Bạn đã mua với giá 3,725,024đ. Giữ trái phiếu này cho đến ngày đáo hạn, lợi suất đầu tư trái phiếu (YTM) là bao nhiêu?
Ta có các dữ liệu:
MV: 5,000,000đ.
i: 8%/năm.
V: 3,725,024đ.
n: 10.
Ta thay mấy dữ liệu vào công thức trên và đặt ẩn X là YTM trên máy tính Casio fx 570 để giải. Nếu bạn chưa biết đặt ẩn thế nào thì trong clip giải các bài tập phía dưới Hiếu có nói.
Thay số vào và giải ẩn trên máy tính tay ra YTM
Lợi suất đầu tư lúc trái phiếu được thu hồi (YTC)
YTC (Yield to call) là tỷ suất lợi nhuận thu được từ một trái phiếu nếu trái phiếu đó được thu hồi trước khi đáo hạn.
Công thức:
Công thức YTC
PC: là giá thu hồi trái phiếu. Khi ra đề người ta sẽ nhắc đến từ “thu hồi” hay “mua lại sau mấy năm”, hãy để ý những số liệu gần đó.
Bài tập áp dụng:
Công ty Liên Quân đang lưu hành một loại trái phiếu có mệnh giá 1000$ và còn 10 năm nữa trái phiếu sẽ đáo hạn. Lãi suất trái phiếu là 11%, được trả hàng năm. Giá trái phiếu hiện tại là 1175$. Trái này có thể bị mua lại sau 5 năm nữa với giá bằng 109% mệnh giá. Hãy tính YTC của trái phiếu?
Ta có các dữ liệu:
MV: 1000$.
i: 11%/năm.
V: 1175$.
n: 5.
PC = 1000 * 109% = 1090$
Thay các số liệu vào công thức và giải ẩn X trên máy tính Casio fx 570.
Thay số vào và giải ẩn trên máy tính tay ra YTC
Bài tập định giá trái phiếu
Đây là 3 bài tập mà Hiếu chọn lọc ra để giới thiệu cho mọi người, mỗi bài đều có những kiểu đánh đố rất thú vị và khả năng cao các bạn sẽ gặp những kiểu như thế
Bài 1 Xoay quanh công thức định giá trái phiếu coupon.
Một trái phiếu công ty Điện Máy Xanh có mệnh giá 1000$, lãi suất danh nghĩa là 8.5%/năm và thời gian đáo hạn là 6.5 năm, tiền lãi được trả 6 tháng 1 lần.
a. Giá của trái phiếu sẽ là bao nhiêu nếu suất sinh lợi yêu cầu trên thị trường là 9%/năm?
b. Giá của trái phiếu sẽ cao hơn hay thấp hơn và mức chênh lệch là bao nhiêu sau 2 năm tính từ thời điểm hiện tại? (Giả sử suất sinh lợi yêu cầu trên thị trường không đổi)
c. Giả sử giá trái phiếu sau 1 năm không thay đổi. Suất sinh lợi yêu cầu sẽ thay đổi như thế nào trong trường hợp này?
Bài 2 Đánh đố một chút về thời gian định giá, có thêm tính YTM.
Công ty Điện Máy Vàng phát hành một đợt trái phiếu mới vào ngày 1/1/1990, Kỳ hạn 20 năm, lãi suất coupon 10%/năm, mệnh giá là 1000$. Tỷ suất lợi nhuận nhà đầu tư yêu cầu là 12%/năm.
a. Giá trái phiếu vào thời điểm phát hành là bao nhiêu?
b. Giả sử vào năm 1992, giá trái phiếu vẫn không đổi, nếu nhà đầu tư giữ trái phiếu cho đến năm 2010 thì suất sinh lợi của nhà đầu tư là bao nhiêu?
b. Giả sử vào ngày 1/1/2000, nhà đầu tư yêu cầu tỷ suất lợi nhuận tăng lên 1%, giá trái phiếu sẽ thay đổi như thế nào? YTM trong trường hợp này là bao nhiêu?
Bài 3 Tăng thêm độ khó, có tính YTC.
Năm ngoái, công ty Điện Máy Hồng phát hành loại trái phiếu có mệnh giá 1000$, kỳ hạn 10 năm, lãi suất trái phiếu là 12% trả theo định kỳ 6 tháng. Trái phiếu có thể mua lại sau 4 năm với giá là 1060$ và giá hiện tại của trái phiếu là 1100$.
a. Giả sử bây giờ bạn mua trái phiếu của công ty Clark bằng đúng với giá hiện tại của trái phiếu. Hãy tính YTM và YTC mà bạn nhận được trong trường hợp này?
b. 2 năm sau khi mua trái phiếu, bạn dự định bán ra thị trường. Hãy tính giá trái phiếu lúc bấy giờ? Cho rd = 14%.
c. Công ty ABC đồng ý mua trái phiếu của bạn với đúng giá mà bạn bán và phải trả thêm chi phí môi giới hết 0.5% giá mua. Nếu công ty ABC giữ trái phiếu này đến khi đáo hạn thì sẽ nhận lợi suất đầu tư trái phiếu là bao nhiêu?
Giải bài tập định giá trái phiếu
Chúc các bạn học tốt! ^_^
The post Giảng giải bài tập định giá trái phiếu appeared first on Minh Hiếu.


